コンテンツへスキップ ナビゲーションに移動

iケミカルラボ株式会社

  • 主要設備
  • 合成実績 / 主なお取引先
  • 受託サービスのご案内
  • 会社案内
  • よくあるご質問
  • お問い合わせ
最新情報
  1. HOME
  2. 最新情報
  3. 実施例
  4. 【合成実施例】2022年9月
2022年10月24日 / 最終更新日時 : 2023年6月16日 ichem-lab 実施例

【合成実施例】2022年9月

 

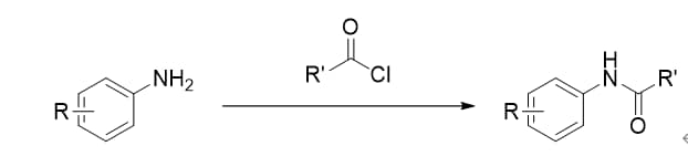
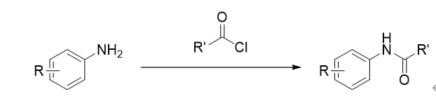
・ショッテン・バウマン反応

・鈴木・宮浦カップリング

先月の実施例一覧はコチラ
カテゴリー
実施例
お知らせ

前の記事

【Q&A】FTE契約の時間単位について
2022年10月14日
お知らせ

次の記事

【ラボの稼働状況】2022年11月
2022年10月27日

最近の投稿

提供価格(イメージ)を公開いたします。

2025年6月26日

毒物劇物製造業登録および毒物劇物一般販売業登録のおしらせ

2024年11月20日

冬季休業について

2025年12月2日

【出展情報】第34回ポリマー材料フォーラムへ出展致します!

2025年11月26日

【出展情報】第42回メディシナルケミストリーシンポジウム 企業展示会に参加しております!

2025年11月19日

【ラボの空き状況】2025年11月 現在

2025年11月6日

【出展情報】第42回メディシナルケミストリーシンポジウム 企業展示会に参加いたします。

2025年10月24日

【御礼】BioJapan2025 弊社ブースへお越しいただき、誠にありがとうございました。

2025年10月14日

【本日より!】BioJapan2025に出展中です

2025年10月8日

【ラボの空き状況】2025年10月 現在

2025年10月3日

【まもなく出展!】BioJapan 2025

2025年10月2日

【出展中】第41回 有機合成化学セミナー

2025年9月24日

カテゴリー

  • イベント
  • お知らせ
  • コラム
  • 実施例

アーカイブ

  • 2025年12月
  • 2025年11月
  • 2025年10月
  • 2025年9月
  • 2025年8月
  • 2025年7月
  • 2025年6月
  • 2025年4月
  • 2025年3月
  • 2025年2月
  • 2024年11月
  • 2024年10月
  • 2024年9月
  • 2024年8月
  • 2024年7月
  • 2024年6月
  • 2024年5月
  • 2024年3月
  • 2024年2月
  • 2024年1月
  • 2023年12月
  • 2023年11月
  • 2023年10月
  • 2023年9月
  • 2023年8月
  • 2023年7月
  • 2023年6月
  • 2023年5月
  • 2023年4月
  • 2023年3月
  • 2023年2月
  • 2023年1月
  • 2022年12月
  • 2022年11月
  • 2022年10月
  • 2022年9月
  • 2022年8月
  • 2022年7月
  • 2022年6月
  • 2022年5月
  • 2022年4月
  • 2022年3月
  • 2022年1月
  • 2021年12月
  • 2021年10月
  • 2021年9月
  • 2021年8月
  • 2021年6月
  • 2021年5月
  • 2021年3月
  • 2021年2月
  • 2020年11月
  • 2020年8月
  • セキュリティーポリシー
  • サイトマップ

協力会社

asymchem

Copyright © iケミカルラボ株式会社 All Rights Reserved.

Powered by WordPress with Lightning Theme & VK All in One Expansion Unit

MENU
  • 主要設備
  • 合成実績 / 主なお取引先
  • 受託サービスのご案内
  • 会社案内
  • よくあるご質問
  • お問い合わせ

お気軽にお問い合わせください。050-5856-1994受付時間 9:00-18:00 [ 土・日・祝日除く ]

お問い合わせ
PAGE TOP